![]() |
Геодезическая задача — математического вида задача, связаная с определением взаимного положения точек земной поверхности и подразделяется на прямую и обратную задачу.
Прямой геодезической задачей (ПГЗ)
называют вычисление геодезических координат — широты
и долготы некоторой точки, лежащей на земном эллипсоиде,
по координатам другой точки и по известным длине и дирекционному углу данного
направления, соединяющей эти точки.
Обратная геодезическая задача (ОГЗ) заключается в определении по геодезическим координатам двух точек на земном эллипсоиде длины и дирекционного угла направления между этими точками.
В зависимости от длины геодезической линии, соединяющей рассматриваемые точки, применяются различные методы и формулы, разработанные в геодезии. По размерам принятого земного эллипсоида (см. Эллипсоид Красовского) составляются таблицы, облегчающие решение геодезических задач и рассчитанные на использование определённой системы формул.
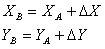
Для определения координат точки в прямой геодезической задаче обычно применяют формулы:
1) нахождения приращений:

2) нахождения координат:

В обратной геодезической задаче находят дирекционный угол и расстояние:
1) вычисляют румб по формуле:

2) находят дирекционный угол в зависимости от четверти угла:
четверти: |
Первая четверть |
Вторая четверть |
Третья четверть |
Четвертая четверть |
знак приращения |
+X, +Y |
-X, +Y |
-X, -Y |
+X, -Y |
диреционный угол |
a = r |
a = 180 — r |
a = 180 + r |
a = 360 — r |
3) определяют расстояние между точками:

Геодезическая задача в том и другом виде возникает при обработке полигонометрии и триангуляции, а также во всех тех случаях, когда необходимо определить взаимное положение двух точек по длине и направлению соединяющей их линии или же расстояние и направление между этими точками по их геодезическим координатам. В ряде случаев геодезические задачи решают в пространственных прямоугольных координатах по формулам аналитической геометрии в пространстве. В этих случаях вместо длины и дирекционного угла, соединяющей две точки, используют длину и пространственные компоненты направления прямой линии между этими точками.
| ©® СПБ ТЕХНИКУМ ГЕОДЕЗИИ И КАРТОГРАФИИ |